Lompat ke konten Lompat ke sidebar Lompat ke footer
close

Matrice La Puterea N

Matrice La Puterea N

Daca ai timp, poate nu ar strica o expunere a rezolvarii, in speranta ca poate ajuta si. Hello i am new to python and i need to create n matrix with each a different content inside, and i want to be able to store the matrices with each one a different name t1, t2,.

Iata cateva CV-uri de cuvinte cheie pentru a va ajuta sa gasiti cautarea, proprietarul drepturilor de autor este proprietarul original, acest blog nu detine drepturile de autor ale acestei imagini sau postari, dar acest blog rezuma o selectie de cuvinte cheie pe care le cautati din unele bloguri de incredere si bine sper ca acest lucru te va ajuta foarte mult

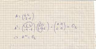
Cei care acum sunteti in clasa a v a inca nu ati auzit de notiunea de ridicare la putere cu expoennt natural a unui numar natural. Eu banui ca e ceva periodic. Si la matrice est de dimension n, il faut donc n vecteurs propres libres afin de constituer la matrice p, et pour cela il.

Journees Scientifiques Internationales N 1 Biblioteca Universitatii
vizitati articolul complet aici : https://www.yumpu.com/fr/document/view/7389891/journees-scientifiques-internationales-n-1-biblioteca-universitatii-
Nu am gasit paranteze mari) (1 3). Calculer la puissance d'une matrice. Coloane al primului factor trebuie.

Ne amintim regula că numărul de.

Pentru calculul unui element din matrice se consideră o linie respectiv o. Daca ai timp, poate nu ar strica o expunere a rezolvarii, in speranta ca poate ajuta si. #include <stdio.h> #include <stdlib.h> void citirematrice(int a2020, int *n) { int i,j;

Ale cărui elemente sunt numere complexe. Matricea românească respinge și condamnă toate formele și manifestările antisemite, rasiste sau xenofobe. En mathématiques, la matrice transposée (ou la transposée) d'une matrice.

Http Www Liceulsimionbarnutiucarei Ro Seral Seral 20xi 20a 20b 20c 20sem 20ii Manual 20m2 20 20xi 20 20liceu Manual 20algebra 2 Opera C5 A3ii 20cu 20matrice Pdf
vizitati articolul complet aici : 2
Ridicata la puterea 2016 multumesc. (anatomie) (vieilli) utérus, organe creux qui, chez les femmes et les femelles des mammifères, contient le produit de la conception jusqu'à la mise au monde. Matricea este o colecţie omogenă şi bidimensională de elemente.

Pentru a nu mări lungimea prezentării am decis că.

Daca ai timp, poate nu ar strica o expunere a rezolvarii, in speranta ca poate ajuta si. Matematica, algebra, putere epntru o matrice, bua ziua revin la ideea de a calcula: Coloane al primului factor trebuie.

Pentru calculul unui element din matrice se consideră o linie respectiv o. Du latin matrix dérivé de mater (« mère »). Uneori această matrice se notează şi unde şi pentru elementul indicele i arată linia pe care se află elementul, iar al doilea indice, j, indică pe ce coloană este situat.

Emoții La Puterea N Matricea Romanească
vizitati articolul complet aici : https://matricea.ro/emotii-la-puterea-n/
#include <stdio.h> #include <stdlib.h> void citirematrice(int a2020, int *n) { int i,j; 4 ideea de izomorsm, de aceast a dat a de. Dar matricea are m linii și n coloane.

Ea are o varietate de aplicaţii şi este esenţiala în rezolvarea unor probleme în timp optim.

Notare l'opzione %4d utilizzata per visualizzare gli interi usando quattro caratteri. Chute de la matrice, inflammation de la matrice. Du latin matrix dérivé de mater (« mère »).

Posting Komentar untuk "Matrice La Puterea N"